[Show all top banners]

rajeshHamal
Replies to this thread:

More by rajeshHamal
What people are reading
Subscribers
:: Subscribe
Back to: Kurakani General Refresh page to view new replies
 Math Formula

[Please view other pages to see the rest of the postings. Total posts: 27]
PAGE:   1 2 NEXT PAGE
[VIEWED 14074 TIMES]
SAVE! for ease of future access.
The postings in this thread span 2 pages, View Last 20 replies.
Posted on 09-08-06 1:35 PM     Reply [Subscribe]
Login in to Rate this Post:     0       ?    
 

if you want a candy:

I need integration of
Sqrt(ax - x^3) dx
Send me your address for candy. For the first correct replier only!
(This is not a legal binding contract)
 
Posted on 09-08-06 1:55 PM     Reply [Subscribe]
Login in to Rate this Post:     0       ?    
 

1/2 (ax-x^3 )^(-1/2) a (-3 x^2)

= -3a/2 (ax-x^3 )^(-1/2)
 
Posted on 09-08-06 1:57 PM     Reply [Subscribe]
Login in to Rate this Post:     0       ?    
 

here is the answer:
Eat that candy by yourself

 
Posted on 09-08-06 2:20 PM     Reply [Subscribe]
Login in to Rate this Post:     0       ?    
 

Oops! owe,wot i did was differentiation...
 
Posted on 09-08-06 3:06 PM     Reply [Subscribe]
Login in to Rate this Post:     0       ?    
 

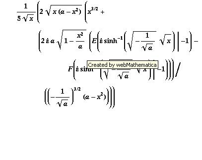
Hyperthread dude, a sincere thanks.

the online "webmathematica Integrator" is amazing! You can still have your candy- just send me your home address to kathmanducity@mailcity.com; if you decline, "shwetaa" can claim it.
 
Posted on 09-08-06 3:19 PM     Reply [Subscribe]
Login in to Rate this Post:     0       ?    
 

Hehe..ho ni? :d
 
Posted on 09-08-06 4:29 PM     Reply [Subscribe]
Login in to Rate this Post:     0       ?    
 

candy chahi hoina yo rajesh hamal lai afnu homework naako thiyo timiharu le solve gari diyau.
 
Posted on 09-08-06 5:22 PM     Reply [Subscribe]
Login in to Rate this Post:     0       ?    
 

Hoina Bidhan,

I had to do some engineering calculations of water discharge over a weir with semi-circular opening. Homework nai ta hoina, but headache nevertheless.

Timlai candy chahincha vannee email me. Nobody else has claimed it yet.
 
Posted on 09-08-06 5:27 PM     Reply [Subscribe]
Login in to Rate this Post:     0       ?    
 

kura chahi thul thulo garne ani jabo sajilo differentiation naako.
 
Posted on 09-08-06 5:45 PM     Reply [Subscribe]
Login in to Rate this Post:     0       ?    
 

Hare rajesh bro , dont take it otherwise, but as being an engineer/engineering student? you dont know how to solve them , dont even know how to search online to solve them ...
damn!!!!!!!!!!!!!!!!!!

dont take it seriously though !!
 
Posted on 09-08-06 5:49 PM     Reply [Subscribe]
Login in to Rate this Post:     0       ?    
 

ke garne?

Padne belama guccha kheldai furshad vayena!

But integration is never "sajilo" hai.
 
Posted on 09-08-06 5:55 PM     Reply [Subscribe]
Login in to Rate this Post:     0       ?    
 

hahahah differnetition lai integration re.

ho yo pakka guchchaa khelne engineer ho.
 
Posted on 09-08-06 5:59 PM     Reply [Subscribe]
Login in to Rate this Post:     0       ?    
 

Rajesh bro I will be scared to use anything related to your design , hehehee
By the way are you an Electrical Engineer(hydro-power)?
 
Posted on 09-08-06 6:14 PM     Reply [Subscribe]
Login in to Rate this Post:     0       ?    
 

Clarification:

1. Bidhan dude, the initial question of mine was to find Integration. Kosle "differentition lai integration.." vanera lyayo? Kya bekaar ko kuro garcha! Jaam gucchaa khelna- you and me.

2. Yeah, hyper dude, thanks. Afterall, I did online search, didn't I? Oh, is sajha forum not considered "online" then? (By the way, I did do many online searches/research before resorting to sajha) And I do owe you a candy.
 
Posted on 09-08-06 6:29 PM     Reply [Subscribe]
Login in to Rate this Post:     0       ?    
 

Rajesh Bro thikai chha we will take candy later ! Have fun solving your problems.
 
Posted on 09-09-06 12:59 AM     Reply [Subscribe]
Login in to Rate this Post:     0       ?    
 

Yea,was supposed to integrate it..sorry differentiation garidiyo,by mistake !
No probs,now u have both :)
 
Posted on 09-09-06 9:34 AM     Reply [Subscribe]
Login in to Rate this Post:     0       ?    
 

Hmm..interesting to see mathematicians at Sajha.
Here is a proof I want you guys to do without searching anywhere...shshsh..dont cheat...

Prove that as 0.999999 tends to infinity, it tends to infinity. It is pretty simple actually.

Prove that Sqrt of 2 is irrational. This one is a bit tricky though. Hint: Try to work the opposite way or in other words, prove that Sqrt 2 cannot be rational and if it cannot be rational, it has to be irrational.

Good luck!!!
PS: First one to give the correct answers to both will get a cash prize of $100 on April 1st.
 
Posted on 09-09-06 9:36 AM     Reply [Subscribe]
Login in to Rate this Post:     0       ?    
 

Prove that as 0.999999 tends to infinity, it tends to infinity. It is pretty simple actually.

Correction...read that as 0.999999 tends to infinity, it equals 1. (remember it is not 0.9999... tends to 1, but rather =1)
 
Posted on 09-09-06 10:11 AM     Reply [Subscribe]
Login in to Rate this Post:     0       ?    
 
 
Posted on 09-09-06 12:20 PM     Reply [Subscribe]
Login in to Rate this Post:     0       ?    
 

euthanasia,
I ain't asking a favor here. Just wanted others to try those simple proofs. And, my suggestion was to do that without any web or software help.
 



PAGE:   1 2 NEXT PAGE
Please Log in! to be able to reply! If you don't have a login, please register here.

YOU CAN ALSO



IN ORDER TO POST!




Within last 7 days
Recommended Popular Threads Controvertial Threads
EAD Filing
NOTE: The opinions here represent the opinions of the individual posters, and not of Sajha.com. It is not possible for sajha.com to monitor all the postings, since sajha.com merely seeks to provide a cyber location for discussing ideas and concerns related to Nepal and the Nepalis. Please send an email to admin@sajha.com using a valid email address if you want any posting to be considered for deletion. Your request will be handled on a one to one basis. Sajha.com is a service please don't abuse it. - Thanks.

Sajha.com Privacy Policy

Like us in Facebook!

↑ Back to Top
free counters